Bernhard Peter
Der Goldene Schnitt - Geometrische Konstruktionen (6)

Geometrische Konstruktion Nr. 18:
Diese Konstruktion ist wiederum eine, die von einem rechtwinkligen 1:2-Dreieck ausgeht. ABC sei ein rechtwinkliges Dreieck, dessen Katheten sich wie 1:2 verhalten. Die Winkelhalbierende von b durch C erzeugt einen Schnittpunkt D mit der Gegenkathete AB. Der Schnittpunkt D teilt selbige in zwei Abschnitte AD und DB. Der kürzere Teil DB steht zu der Ankathete BC im Verhältnis des Goldenen Schnittes.

Der numerische Beweis beruht ausschließlich auf der Definition des Tangens:

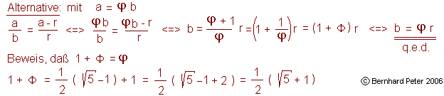
Geometrischer Beweis: Ausgangspunkt ist der Satz, daß eine Winkelhalbierende die gegenüberliegende Seite im Verhältnis der anliegenden Seiten teilt.

Geometrische Konstruktion Nr. 19:
Von Jo Niemeyer (Quelle: Jo Niemeyer, Skizzen "Goldener Schnitt" aus Arbeits-/Handzeichnungen 1978-2006, Skizze 51) stammt folgende Konstruktion: In einem Quadrat ABCD wird eine Gerade von einer Ecke C zur Mitte E der gegenüberliegenden Seite AD gezogen, so daß diese das Quadrat in ein rechtwinkliges Dreieck EDC und in ein Trapez ABCE aufteilt. In das Trapez ABCE wird der Inkreis (größtmöglicher Kreis im Inneren) einbeschrieben. Das auf die Seiten des Quadrates gefällte Lot des Mittelpunktes M dieses Kreises teilt die Seiten im Verhältnis des Goldenen Schnittes. Das besonders Faszinierende an dieser Darstellung aus künstlerischer Sicht ist, daß hier drei elementare Formen, Quadrat, Dreieck und Kreis, zusammenspielen, um gemeinsam wieder den Goldenen Schnitt zu ergeben.

1. Beweis: Analog zu Konstruktion Nr. 18 erweitern wir das Trapez ABCE zu einem Dreieck. Indem wir die Diagonale CE und die Seite AB nach links bis zum Schnittpunkt F der beiden verlängern, erhalten wir ein rechtwinkliges 2:1-Dreieck FBC, für das der Inkreis berechnet wird. Der Radius r des Inkreises ergibt sich als Minor zur Seitenlänge des Quadrates.

Die Berechnung des Radius r liefert als primäres Ergebnis den kleineren Teil der Teilung der Seitenlänge des Quadrates im Goldenen Schnitt. Daß es sich bei dem Radius des Inkreises tatsächlich um einen doppelt auf die Kantenlänge des Quadrates angewandten Goldenen Schnitt handelt, zeigt die Umformung der letzten Zeile, die den Goldenen Schnitt im Quadrat liefert.

2. Beweis: Eine alternative Beweisführung geht über das größte einbeschriebene Quadrat in das rechtwinklige Dreieck GBC. Hier wird der Beweis aus Konstruktion 18 zugrundegelegt, der G und damit CG und BG definiert. Basis der Überlegung ist, daß der Inkreis-Mittelpunkt auf der Winkelhalbierenden liegen muß, um gleichzeitig BC und CF tangieren zu können. Für ein Quadrat, dessen Eckpunkte sowohl der Kreismittelpunkt M als auch der Punkt B sein müssen, gilt:

Durch den Beweis ergeben sich analog nun sehr viele Relationen im Goldenen Schnitt:

Einführung
Geometrische Konstruktionen (1) - Geometrische Konstruktionen (2)
Geometrische Konstruktionen (3) - Geometrische Konstruktionen (4)
Geometrische Konstruktionen (5) - Geometrische Konstruktionen (6)
Geometrische Konstruktionen (7) - Geometrische Konstruktionen (8)
Geometrische Konstruktionen (9) - Geometrische Konstruktionen (10)
Fünfecke, Zehnecke, Ikosaeder und der Goldene Schnitt
Mathematik des Goldenen Schnittes
Die Zahl des geometrischen Wachstums bzw. der geometrischen Teilung
Immer schön kritisch bleiben!
Der Goldene Schnitt in der konkreten Kunst - Beispiele von Jo Niemeyer
Land Art mit dem Goldenen Schnitt
Literatur, Links, Quellen

Home

© Text und Graphik: Bernhard Peter 2006
Impressum